2025考研数学一答案的解析需要结合当年真题的难度、考点分布以及考生普遍反馈来展开,2025年数学一整体难度适中,但计算量较大,对考生的综合能力要求较高,以下从试题结构、典型题目解析、备考启示等方面进行详细阐述。

2025年考研数学一的试卷结构与往年一致,包括高等数学(56%)、线性代数(22%)和概率论与数理统计(22%)三部分,高等数学部分重点考查了极限、导数、积分、微分方程、多元函数微分学等核心内容;线性代数则围绕矩阵、向量、线性方程组、特征值与特征向量展开;概率论部分涉及随机变量分布、数字特征、大数定律与中心极限定理等知识点,整体来看,试题注重基础与综合能力的结合,部分题目需要考生具备较强的计算技巧和逻辑推理能力。
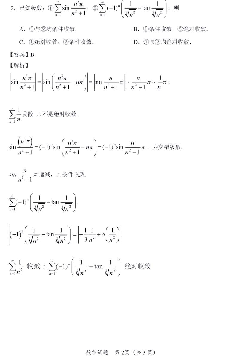
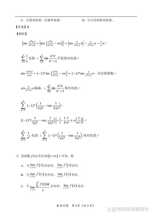
在高等数学部分,选择题第1题考查了极限的计算,涉及等价无穷小替换和洛必达法则的应用,考生需注意在替换过程中避免忽略高阶无穷小的影响,第6题关于多元函数微分学的几何应用,要求考生理解切平面与法线的概念,并能正确建立方程,填空题第9题考查二重积分的计算,需通过极坐标变换简化积分区域,这一题容易因积分限设置错误而失分,解答题第15题涉及微分方程的求解,属于常规题型,但需要考生注意初始条件的代入时机,避免计算过程冗长,第16题关于级数的收敛性判断,综合运用了比较判别法和比值判别法,对考生的分析能力有一定要求。
线性代数部分,选择题第5题考查矩阵的相似对角化,需掌握特征值与特征向量的求解方法以及矩阵可对角化的条件,填空题第13题涉及线性方程组解的结构,要求考生理解基础解系的概念并能正确表示通解,解答题第20题是二次型的标准化问题,需通过正交变换将二次型化为标准形,这一题计算量较大,容易在正交化单位化步骤出错,整体来看,线性代数部分题目难度适中,但需要考生对基本概念和定理有清晰的理解,避免因混淆相似合同等概念而失分。
概率论与数理统计部分,选择题第7题考查随机变量函数的分布,需掌握分布函数的定义和分段函数的处理技巧,填空题第14题涉及二维随机变量的概率计算,需正确确定积分区域并利用对称性简化计算,解答题第22题是参数估计问题,要求考生掌握矩估计和最大似然估计的求解步骤,并在比较估计量优劣时运用无偏性等标准,这一题的难点在于最大似然估计函数的构造,需要考生具备较强的分析能力。

针对2025年数学一的试题特点,考生在备考时应注意以下几点:夯实基础是关键,考研数学注重对基本概念、基本定理和基本方法的考查,只有扎实的基础才能应对灵活多变的题目,加强计算能力的训练,2025年试题计算量较大,考生需通过大量练习提高计算的准确性和效率,注重知识点的综合运用,部分题目涉及多个知识点的交叉,考生需学会建立知识点之间的联系,形成知识网络,模拟真实考试环境,进行限时训练,合理分配答题时间,避免因时间不足而失分。
在答题技巧方面,选择题可采用特殊值法、排除法等简化计算;填空题需注意结果的规范性和准确性,避免因单位或符号错误而失分;解答题应步骤清晰,逻辑严谨,即使最终结果错误,部分步骤也可能获得分数,考生需注意审题,明确题目考查的知识点,避免因误解题意而浪费时间。
对于2025年及以后的考生,2025年的数学一试题提供了重要的备考方向,建议考生在复习时结合最新考试大纲,明确重点和难点,同时注重历年真题的研究,通过真题把握命题趋势和考查方式,在复习过程中,要定期总结错题,分析错误原因,避免重复犯错,合理规划复习时间,高等数学部分投入时间应相对较多,但也不能忽视线性代数和概率论的复习,确保各部分均衡发展。
相关问答FAQs:

-
问:2025年考研数学一的整体难度如何?与其他年份相比有什么特点? 答:2025年考研数学一整体难度适中,但计算量较大,对考生的综合能力和计算技巧要求较高,与往年相比,2025年试题更注重知识点的综合运用,部分题目需要考生具备较强的逻辑推理能力,但偏题、难题较少,更侧重对基础知识的考查。
-
问:在复习考研数学时,如何有效提高计算能力? 答:提高计算能力需要通过大量练习来实现,建议考生每天安排固定时间进行计算题的训练,包括极限、积分、矩阵运算等易出错的题型,在练习过程中,要注意总结常见的计算技巧,如换元法、分部积分法等,并养成验算的习惯,避免因粗心而失分,限时训练也是提高计算速度和准确性的有效方法。
