文博思齐教育

  • 重庆邮电大学考研分数线多少?

    重庆邮电大学考研分数线多少?

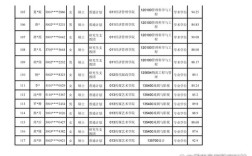
    重庆邮电大学作为信息科技特色鲜明的高校,其考研分数线一直是考生关注的焦点,分数线受报考人数、招生计划、试题难度等多重因素影响,每年存在一定波动,以下从整体趋势、学科门类差异及影响因素等方面展开分析,整体分数线趋势近年来,重庆邮电大学考研分数...

    2026-01-31
    5 0 0
  • 1 / 1
  • 1