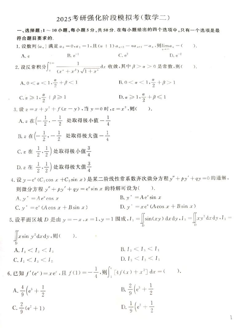
2012年考研数学二真题的难度和题型分布对考生复习具有重要参考价值,该试卷涵盖高等数学、线性代数和概率论与数理统计三部分,其中高等数学占比约78%,线性代数占22%,概率论部分未涉及,试卷整体难度适中,但题目设计注重对基础概念的综合应用和对计算能力的考察,部分题目存在一定陷阱,需要考生细心审题。

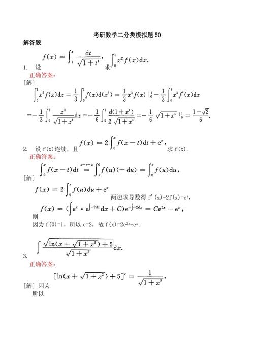
高等数学部分重点考查了极限、导数与微分、积分、微分方程等内容,第一大题第1小题考查了函数极限的计算,涉及等价无穷小替换和洛必达法则的结合使用,考生需注意替换时的条件限制;第二大题第9小题考查的是隐函数求导,题目中嵌套了复合函数求导法则,容易在链式法则的应用上出错;第三大题第15小题是关于定积分的计算,需通过换元法将无理函数积分转化为有理函数积分,过程中要注意积分限的变化;微分方程部分(第三大题第16小题)考查二阶常系数非齐次线性微分方程的解法,关键在于正确写出特解的形式并代入初始条件确定常数。
线性代数部分主要围绕行列式、矩阵、向量组和线性方程组展开,第五大题第20小题考查矩阵的特征值与特征向量,题目中矩阵含参数,需通过特征方程求参数值,再进一步求特征向量,过程中需注意重特征向量对应的线性无关特征向量个数的讨论;第六大题第21小题是关于二次型的标准化问题,需先写出二次型对应的矩阵,再通过正交变换法化标准形,计算过程中涉及矩阵的特征值、特征向量以及单位正交化的步骤,计算量较大,容易出错。
试卷中的综合应用题(如第七大题第22小题)将导数与几何应用结合,要求考生利用导数分析函数的极值、拐点及渐近线,并绘制函数图像,这不仅考查导数的计算,还考查数形结合的思想,证明题(如第七大题第23小题)考查中值定理的应用,需构造辅助函数,对考生的逻辑推理能力要求较高。
在复习策略上,考生需注重基础概念的深入理解,例如极限的ε-δ定义、导数的几何意义、积分的换元法与分部积分法的适用条件等,要加强计算能力的训练,提高解题的准确性和速度,对于线性代数,需建立知识框架,明确各章节之间的联系,如矩阵的秩与线性方程组解的关系、特征值与二次型标准化之间的联系等。

| 考试模块 | 分值占比 | 重点题型 | 常见错误 |
|---|---|---|---|
| 高等数学 | 78% | 极限计算、导数应用、积分计算、微分方程 | 无穷小替换条件忽略、积分换元限错误、特解形式设定不当 |
| 线性代数 | 22% | 特征值与特征向量、二次型、线性方程组 | 特征向量计算遗漏、正交变换步骤混乱、秩的判断错误 |
相关问答FAQs:
-
问:2012年考研数学二真题中,哪些题目最容易失分?
答:最容易失分的题目通常是综合应用题和证明题,如第七大题第22小题(函数图像绘制)和第23小题(中值定理证明),这类题目不仅考查计算能力,还涉及知识点的综合运用和逻辑推理,考生容易因思路不清或计算失误而丢分,线性代数中的二次型标准化(第六大题第21小题)因计算步骤繁琐,也容易出错。 -
问:如何有效准备考研数学二中的证明题?
答:准备证明题需掌握核心定理(如罗尔定理、拉格朗日中值定理、零点定理等)的适用条件和构造辅助函数的方法,建议通过真题练习总结常见证明模型,例如中值定理证明中常构造函数F(x)=e^x[f(x)-k]或F(x)=xf(x)等形式,要注重逻辑表达的严谨性,避免跳步或假设不成立的情况。

