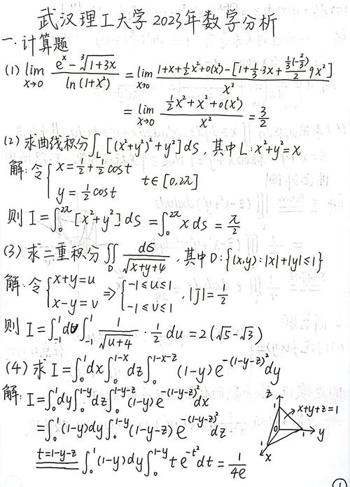
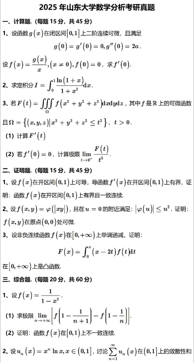
自动化所考博数学分析是自动化研究所博士入学考试的重要组成部分,主要考察考生对数学分析基础理论、方法及应用的掌握程度,尤其是与自动化领域相关的数学建模、系统分析等能力的综合运用,数学分析作为一门基础学科,在自动化研究中涉及控制理论、信号处理、优化算法等多个核心领域,因此其考试内容既注重理论深度,也强调实际应用能力。 通常包括极限与连续、微分学、积分学、级数理论、多元函数微分学、含参变量积分、曲线曲面积分、场论基础等核心模块,极限理论是整个数学分析的基石,要求考生熟练掌握数列极限、函数极限的定义、性质及计算方法,包括ε-δ语言、洛必达法则、泰勒展开等工具的应用,微分学部分侧重于函数的导数与微分,包括隐函数、参数方程所确定的函数求导,以及中值定理(罗尔定理、拉格朗日中值定理、柯西中值定理)的证明与应用,这些理论在自动化的稳定性分析、系统响应特性研究中具有直接应用,积分学部分则要求掌握不定积分、定积分的计算技巧(如换元积分法、分部积分法),以及反常积分的收敛性判别,同时需理解积分与微分的关系,为后续的微分方程和优化理论奠定基础。

级数理论是离散系统分析的重要工具,考生需掌握常数项级数的收敛性判别(比较判别法、比值判别法、根值判别法等),函数项级数的一致收敛性,以及幂级数、傅里叶级数的展开与应用,在自动化领域,傅里叶级数是信号处理的基础,用于信号的频谱分析与滤波器设计,多元函数微分学部分,要求理解偏导数、全微分、方向导数、梯度的概念,掌握复合函数求导法则及极值问题(无条件极值与条件极值,拉格朗日乘数法),这些在多变量控制系统优化、机器学习算法中广泛应用,含参变量积分与曲线曲面积分则涉及更高级的积分理论,需掌握其计算方法及物理意义,如格林公式、高斯公式、斯托克斯公式的应用,这些公式在电磁场理论、流体力学等自动化相关物理场建模中至关重要,场论基础部分,要求理解梯度、散度、旋度的概念及其运算,掌握场论的基本积分公式,为复杂工程系统中的场问题分析提供数学工具。
考试形式一般为闭卷笔试,题型包括选择题、填空题、计算题、证明题及应用题,选择题和填空题主要考察基本概念和计算能力,如极限值、导数、积分的计算,级数收敛性判断等;计算题和证明题则侧重对理论的综合运用,如中值定理的证明、积分技巧的应用、级数展开等;应用题可能结合自动化领域的实际问题,如通过微分方程描述系统动态,利用优化方法设计控制器等,要求考生具备将数学工具与工程问题结合的能力。
备考建议方面,考生需系统梳理数学分析的知识体系,注重概念的理解与定理的证明过程,而非单纯记忆公式。ε-δ语言虽然抽象,但通过实例练习可加深对极限本质的理解;中值定理的证明思路(构造辅助函数)在后续证明题中具有通用性,需加强计算能力的训练,尤其是复杂积分、级数求和等技巧的熟练度,对于自动化相关应用,可结合控制理论中的稳定性判别(如李雅普诺夫方法与微分方程的关系)、信号处理中的傅里叶变换等实例,理解数学分析在具体领域的应用逻辑,建议通过历年真题和模拟题进行针对性练习,熟悉考试题型与难度,总结常见解题方法,如分部积分法的适用类型、拉格朗日乘数法的步骤等。
以下是相关问答FAQs:

问题1:自动化所考博数学分析中,证明题占比如何?应重点掌握哪些证明方法?
解答:证明题在数学分析考试中通常占比较大(约30%-40%),重点考察对定理逻辑的理解和推导能力,需重点掌握中值定理(罗尔、拉格朗日、柯西)的证明及应用、闭区间上连续函数性质(最值定理、介值定理)的证明、级数收敛性判别法的证明(如比较判别法的推导)、积分与微分关系的证明(牛顿-莱布尼茨公式)等,核心方法包括构造辅助函数、反证法、数学归纳法等,需通过典型例题训练证明思路的严谨性。
问题2:如何有效提升数学分析在自动化问题中的应用能力?
解答:需建立数学理论与自动化问题的联系,例如将微分方程与系统动态模型结合,理解稳定性分析中特征值与微分方程解的关系;将傅里叶级数与信号频谱分析对应,掌握滤波器设计的数学原理,通过阅读自动化领域经典教材(如《自动控制原理》中的数学基础章节),学习数学工具如何具体应用于系统建模、控制器设计等问题,尝试用数学分析知识解决简化后的工程问题,如通过梯度下降法优化控制参数,或利用场论分析电磁场分布,实现理论与实践的结合。

