2025年考博录取名单是高校研究生招生工作的重要成果,反映了当年博士研究生选拔的严谨性和规范性,博士研究生作为高等教育人才培养的最高层次,其录取过程通常经过初试、复试、资格审查等多个环节,确保选拔出具备扎实理论基础、独立科研能力和创新潜力的优秀人才,从整体来看,2025年各高校的考博录取工作严格遵循国家教育部和招生单位的相关规定,坚持“公平、公正、公开”原则,为学术界和各行业输送了大批高层次人才。

不同高校的考博录取名单在公示内容上可能存在一定差异,但通常包含考生姓名、准考证号、报考专业、研究方向、导师信息、初试成绩、复试成绩、总成绩以及录取类别等关键信息,以部分高校为例,理工科专业的录取考生中,有不少人曾在核心期刊发表学术论文或参与国家级科研项目,显示出较强的科研背景;文科专业则更注重考生的理论素养和学术潜力,部分录取者在相关领域已有研究成果或参与过重要学术研讨,跨专业考博的考生也占一定比例,这些考生凭借复合型知识结构和创新思维,在竞争中展现出独特优势。
从录取数据来看,2025年各高校博士研究生报录比普遍较高,部分热门专业如人工智能、临床医学、经济学等竞争尤为激烈,某高校计算机应用技术专业报录比达到10:1,而一些冷门专业如历史文献学则可能不足3:1,这种差异反映了社会需求、学科发展前景以及就业形势对考生选择的影响,在录取层次上,各高校既注重选拔应届硕士毕业生,也鼓励具有丰富实践经验的在职人员报考,形成多元化的生源结构,这种设计既保证了学术研究的连续性,也为社会各领域培养了应用型高层次人才。
导师在博士研究生录取中扮演着重要角色,2025年各高校普遍实行导师负责制,导师的学术方向和研究资源直接影响考生的录取结果,从名单中可以看出,知名导师指导的报考人数通常较多,录取标准也更为严格,部分高校还推行“申请-考核”制,考生需提交研究计划、科研成果等材料,通过材料审核后方可进入复试环节,这种方式更注重考生的学术潜力和创新能力,而非单纯依靠初试成绩,部分高校还设置了专项招生计划,如少数民族骨干计划、高校思想政治工作骨干在职攻读博士学位专项计划等,以支持特定群体的博士人才培养。
2025年考博录取名单的公示方式也体现了招生工作的透明度,各高校通常通过研究生院官网、校内公告栏等渠道公示拟录取名单,公示期一般不少于10个工作日,接受社会监督,对于公示期间收到的异议,招生单位会及时组织核查并反馈结果,确保录取结果的公正性,部分高校还对录取考生的信息进行脱敏处理,如隐藏部分身份证号、家庭住址等隐私内容,以保护考生个人信息安全。

从学科发展趋势来看,2025年考博录取名单中新兴交叉学科的考生比例有所上升,如大数据与金融、生物医学工程、环境科学与工程等,这反映了学科融合发展的趋势,国家重点发展的战略领域,如航空航天、新材料、新能源等,也吸引了更多优秀考生报考,这些学科不仅契合国家经济社会发展需求,也为考生提供了更广阔的发展空间,部分高校还加强与科研院所、企业的合作,通过联合培养模式,提升博士研究生的实践能力和创新能力。
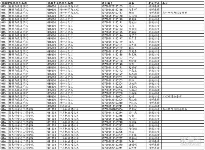
以下是2025年部分高校考博录取名单的示例(简化版):
| 考生姓名 | 准考证号 | 报考专业 | 研究方向 | 导师姓名 | 初试成绩 | 复试成绩 | 总成绩 | 录取类别 |
|---|---|---|---|---|---|---|---|---|
| 张三 | 20251001 | 计算机科学与技术 | 人工智能 | 李四 | 385 | 90 | 438 | 非定向 |
| 王五 | 20251002 | 临床医学 | 内科学 | 赵六 | 370 | 88 | 429 | 定向 |
| 刘七 | 20251003 | 经济学 | 金融学 | 陈八 | 390 | 92 | 443 | 非定向 |
| 陈九 | 20251004 | 中国古代文学 | 唐宋文学 | 周十 | 375 | 85 | 421 | 非定向 |
相关问答FAQs:
-
问:2025年考博录取名单中,非定向和定向录取类别有什么区别?
答:非定向录取类别属于全日制非在职博士,考生需脱产学习,毕业后自主就业;定向录取类别通常为在职博士,考生在学习期间仍属原单位人事关系,毕业后需回原单位工作,非定向考生可享受国家助学金和学业奖学金,定向考生的培养费用一般由原单位或个人承担,具体以招生单位规定为准。 -
问:如果对2025年考博录取名单中的录取结果有异议,应该如何申诉?
答:考生可在公示期内通过书面形式向招生单位研究生招生办公室提出异议,并提供相关证明材料,招生单位会在收到异议后10个工作日内组织核查,并将处理结果反馈给异议人,若对处理结果仍有不满,可向省级教育招生考试机构或国家教育部申诉,申诉需遵循实事求是原则,不得捏造事实或诬告陷害。
