考研数学一的高数部分是整个考试的核心,占比最大,难度也最高,其知识点覆盖广泛且注重综合应用能力,从历年真题来看,高数部分通常占56%左右,即84分,因此扎实掌握高数知识点是通过数学一考试的关键,高数内容主要分为极限与连续、一元函数微分学、一元函数积分学、向量代数与空间解析几何、多元函数微分学、多元函数积分学、无穷级数、常微分方程八大模块,每个模块都有其重点和难点,需要系统梳理和深入理解。

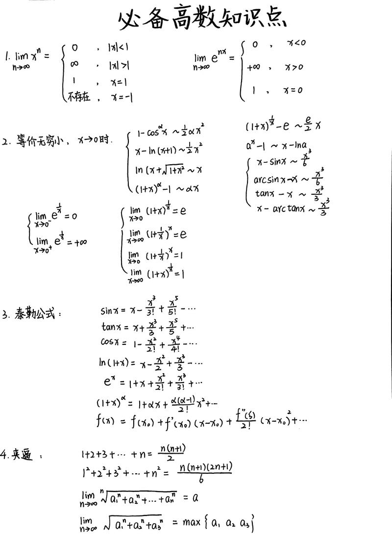
极限与连续是高等数学的基础,贯穿整个高数体系,核心内容包括数列极限和函数极限的定义、性质(唯一性、有界性、保号性),以及极限的运算法则(四则运算、夹逼准则、单调有界准则),重点掌握利用两个重要极限求函数极限,以及无穷小量的比较(高阶、低阶、同阶、等价无穷小),等价无穷小替换是简化极限计算的重要方法,但需注意替换条件(只能在乘除法中替换),连续性部分要理解函数在某点连续的定义(左连续、右连续),掌握间断点的分类(第一类:可去、跳跃;第二类:无穷、振荡),以及闭区间上连续函数的性质(最值定理、介值定理、零点定理),这些定理常用于证明题。
一元函数微分学的核心是导数与微分的概念、计算及应用,导数的定义是函数增量与自变量增量之比的极限,需理解其几何意义(切线斜率)和物理意义(瞬时变化率),导数的计算包括基本初等函数导数公式、四则运算法则、复合函数求导法则(链式法则)、隐函数求导、参数方程求导,以及高阶导数的计算(莱布尼茨公式用于乘积的高阶导数),微分的应用主要体现在近似计算和泰勒公式上,泰勒公式是连接函数与多项式的重要工具,需掌握常见函数(如e^x、sinx、cosx、ln(1+x)、(1+x)^α)的麦克劳林展开式,以及泰勒公式在极限计算、误差估计中的应用,导数的应用是重点,包括函数的单调性(导数符号判断)、极值(一阶导数零点、二阶导数符号判断)、凹凸性(二阶导数符号)与拐点(二阶导数零点且变号),以及最值问题的求解(闭区间端点、驻点、不可导点),还有方程根的讨论(零点定理、罗尔定理)、不等式证明(单调性、中值定理)、曲率与曲率半径的计算。
一元函数积分学包括不定积分、定积分及其应用,不定积分的核心是原函数概念和积分方法,包括基本积分公式、第一类换元法(凑微分法)、第二类换元法(三角替换、根式替换)、分部积分法(“反对幂三指”顺序),定积分部分要理解其定义(黎曼和)、性质(线性性、区间可加性、保序性、积分中值定理),以及微积分基本定理(牛顿-莱布尼茨公式),这是计算定积分的核心,反常积分(无穷积分、瑕积分)的收敛性判断是难点,常用比较判别法、极限判别法,定积分的应用包括几何应用(平面图形面积、旋转体体积、弧长、侧面积)和物理应用(变力做功、水压力、质心),需掌握“微元法”的思想,将实际问题转化为积分表达式。
向量代数与空间解析几何是多元函数微积分的基础,向量部分要掌握向量的线性运算(加减数乘)、数量积(点积,结果为标量,用于求夹角、投影)、向量积(叉积,结果为向量,用于求法向量、面积)、混合积(结果为标量,用于判断共面),空间直线与平面的方程是重点,平面方程有点法式、一般式、截距式;直线方程有点向式(对称式)、参数式、一般式,需掌握位置关系判断(平行、垂直、相交),以及距离公式(点面距离、点线距离、线线距离),曲面部分要掌握常见二次曲面(球面、柱面、锥面、旋转曲面、椭球面、双曲面、抛物面)的方程和图形特征。

多元函数微分学是一元函数微分学的推广,但更复杂,核心概念包括多元函数极限(注意路径依赖性)、连续性、偏导数(对某一变量的导数,几何意义为切线斜率)、全微分(线性主部,可微的充要条件是增量可表示为线性项加高阶无穷小),复合函数求导是难点,需掌握链式法则(显函数、隐函数、抽象函数的全导数与偏导数),以及隐函数求导公式(一个方程确定的隐函数、方程组确定的隐函数),方向导数与梯度是重要概念,方向导数是函数沿某一方向的变化率,梯度是方向导数的最大值向量,指向函数增长最快的方向,多元函数的应用包括极值问题(无条件极值:驻点与二阶偏导数判别法;条件极值:拉格朗日乘数法),以及空间曲线的切线与法平面、空间曲面的切平面与法线方程。
多元函数积分学包括二重积分、三重积分、曲线积分、曲面积分,是考试的重点和难点,二重积分的计算要掌握直角坐标系(X型、Y型区域)和极坐标系下的积分公式,以及利用对称性简化计算,三重积分的计算包括直角坐标系(“先一后二”、“先二后一”)、柱坐标系、球坐标系,需根据积分区域和被积函数特点选择合适的坐标系,曲线积分分为对弧长的曲线积分(与路径无关,化为定积分)和对坐标的曲线积分(与路径相关,利用格林公式,注意P、Q的连续性及区域单连通性),曲面积分分为对面积的曲面积分(化为二重积分)和对坐标的曲面积分(化为二重积分或高斯公式),格林公式、高斯公式、斯托克斯公式是三大积分公式,用于简化积分计算,需注意公式的条件(区域封闭、函数连续可微)。
无穷级数是研究函数性质的重要工具,包括常数项级数和函数项级数,常数项级数要掌握收敛定义(部分和数列收敛),性质(线性性、级数收敛的必要条件),以及正项级数判别法(比较判别法、比值判别法、根值判别法),交错级数判别法(莱布尼茨定理),任意项级数的绝对收敛与条件收敛,函数项级数重点是幂级数,包括收敛半径、收敛区间、收敛域的求解(比值法、根值法),以及幂级数的和函数性质(连续性、逐项求导、逐项积分),常见函数的幂级数展开(泰勒级数或直接展开法),傅里叶级数是难点,要求掌握周期函数(周期2π、2l)的傅里叶系数计算,以及将函数展开为傅里叶级数(狄利克雷定理)。
常微分方程是研究函数关系的方程,重点掌握一阶和二阶微分方程的解法,一阶微分方程包括可分离变量方程、齐次方程、一阶线性微分方程(常数变易法)、伯努利方程,二阶微分方程重点掌握线性方程,尤其是常系数线性齐次方程(特征根法:不同实根、重根、共轭复根),以及常系数线性非齐次方程(待定系数法:自由项为多项式、指数函数、正弦余弦函数或其组合),可降阶的高阶微分方程(y''=f(x,y',y'))也要掌握,微分方程的应用主要体现在几何和物理问题中的建模,如增长率问题、运动学问题等。

相关问答FAQs
问题1:如何高效复习考研数学一高数部分的极限计算?
解答:极限计算是高数的基础,复习时需分模块突破,首先掌握基本概念(极限定义、性质),重点练习利用两个重要极限、等价无穷小替换(如x→0时,sinx~x,ln(1+x)~x,e^x-1~x)、洛必达法则(0/0、∞/∞型)求极限;其次掌握泰勒公式在极限中的应用(如x→0时,用sinx=x-x³/6+o(x³)替换简化复杂极限);最后通过综合题练习(如极限与连续性、导数定义结合的题目),总结解题技巧,如分子分母同除、有理化、变量替换等,同时注意极限存在性条件的分析(如左右极限相等)。
问题2:考研数学一中多元函数积分学的三大公式(格林、高斯、斯托克斯)如何区分和应用?
解答:三大公式的核心是将复杂积分转化为简单积分,需从积分区域、被积函数、公式形式上区分:
- 格林公式:用于平面闭区域上的二重积分与沿边界曲线的对坐标的曲线积分的转化,形式为∮_L Pdx+Qdy=∬_D (∂Q/∂x-∂P/∂y)dxdy,条件是L为正向分段光滑闭曲线,P、Q在D上有一阶连续偏导数,常用于计算曲线积分或证明与路径无关的问题。
- 高斯公式:用于空间闭区域上的三重积分与沿边界曲面外侧的对坐标的曲面积分的转化,形式为∬_Σ Pdydz+Qdzdx+Rdxdy=∭_Ω (∂P/∂x+∂Q/∂y+∂R/∂z)dxdydz,条件是Σ为外侧分片光滑闭曲面,P、Q、R在Ω上有一阶连续偏导数,常用于计算曲面积分或证明封闭曲面积分性质。
- 斯托克斯公式:用于空间曲面Σ上的曲面积分与沿边界曲线L的对坐标的曲线积分的转化,形式为∮_L Pdx+Qdy+Rdz=∬_Σ (∂R/∂y-∂Q/∂z)dydz+(∂P/∂z-∂R/∂x)dzdx+(∂Q/∂x-∂P/∂y)dxdy,条件是L与Σ符合右手定则,P、Q、R在Σ上有一阶连续偏导数,常用于空间曲线积分的计算。
应用时需先判断积分区域是否封闭,若不封闭则需补线/面使其封闭;再检查被积函数的连续性,最后选择合适的公式将高维积分降维,简化计算。
