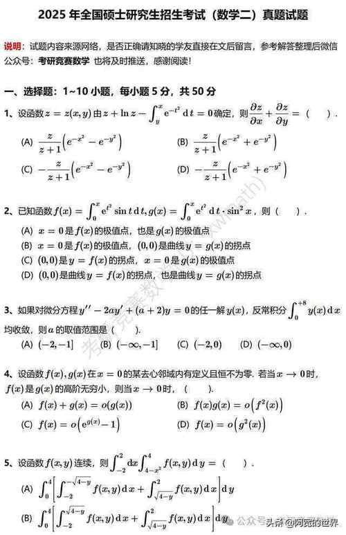
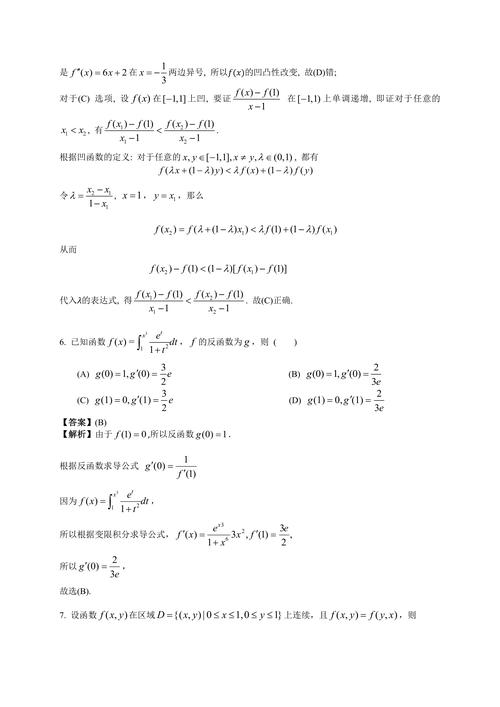
2025年考研数学二的答案解析对于备考后续年份的考生来说具有重要的参考价值,通过对当年试题的答案回顾和知识点梳理,可以帮助考生更好地把握考研数学的命题规律和重点难点,2025年考研数学二试题整体难度适中,注重对基础知识、基本技能和综合运用能力的考查,涵盖高等数学、线性代数等核心内容,各部分分值分布合理,突出了对数学思维和分析解决问题能力的考察。

高等数学部分作为考研数学二的重点,分值占比约80%,涉及函数、极限、连续、一元函数微分学、一元函数积分学、多元函数微分学、常微分方程等章节,在选择题第1题中,考查的是函数极限的计算,题目给出lim(x→0)[(1+cosx - sinx - 1)/(x^2)],通过泰勒展开或等价无穷小替换可得答案为1/2,这要求考生熟练掌握极限运算的各种方法,第5题涉及定积分的性质,比较定积分∫(0^π/2) sin^5x dx与∫(0^π/2) cos^5x dx的大小,利用对称性和函数单调性可知两者相等,考查了定积分的几何意义和比较定理的应用。
填空题部分同样注重基础知识的直接应用,如第9题考查的是一阶微分方程的求解,题目给出dy/dx = (y/x)ln(y/x),通过令u=y/x可将方程转化为可分离变量的微分方程,解得y=xe^(x+C),再由初始条件确定常数C,最终得到特解y=xe^(x+1),第12题涉及多元函数微分学的几何应用,求曲面z=x^2+y^2在点(1,2,5)处的切平面方程,先求函数在该点的偏导数,得到法向量,然后利用点法式方程写出切平面方程为2x+4y-z-5=0,这要求考生掌握多元函数微分的基本概念和几何意义。
解答题部分对考生的综合能力提出了更高要求,第16题是关于中值定理的证明,题目设在[a,b]上连续,(a,b)内可导,且f(a)=f(b)=1,证明存在ξ∈(a,b),使得f'(ξ)+f(ξ)=0,构造辅助函数F(x)=e^x f(x),利用罗尔定理即可证明,这需要考生熟练掌握中值定理的证明方法和辅助函数的构造技巧,第19题考查的是定积分的应用与函数最值的综合问题,求曲线y=lnx与直线x+y=1所围成的平面图形的面积以及该图形绕x轴旋转一周所成的旋转体的体积,通过画图确定积分区间,利用定积分的几何意义和旋转体体积公式进行计算,考查了考生对微积分应用的理解和计算能力。
线性代数部分分值占比约20%,主要考查行列式、矩阵、向量、线性方程组等章节,在第20题中,题目给出一个3阶矩阵A,满足A^2 - A - 2E=0,求A的特征值,通过特征值的定义,设λ为A的特征值,则λ^2 - λ - 2=0,解得λ=2或λ=-1,考查了矩阵特征值的基本性质和多项式方程的求解,第22题是关于线性方程组的求解,题目给出一个非齐次线性方程组Ax=b,其中A的伴随矩阵A*的秩为1,求线性方程组Ax=b的通解,通过伴随矩阵的秩与矩阵秩的关系,确定A的秩为2,进而求出方程组的基础解系和特解,写出通解,这要求考生掌握线性方程组解的结构和伴随矩阵的性质。

在备考过程中,考生应注重对基本概念、基本定理和基本方法的理解和掌握,避免陷入题海战术,2025年考研数学二试题中,许多题目都是对基础知识的直接考查或简单变形,如极限的计算、导数的应用、定积分的计算等,因此考生应加强对基础知识的复习,确保基本概念清晰、基本方法熟练,要注重知识点的综合运用,如中值定理的证明、微分方程的求解、线性代数与高等数学的综合问题等,这些题目往往需要考生灵活运用多个知识点进行分析和解答。
对于易错知识点,考生应特别注意极限运算中的等价无穷小替换条件、定积分的换元积分法中积分限的变换、多元函数微分学的复合函数求导法则、线性代数中矩阵的秩与方程组解的关系等,在计算极限时,必须确保替换的无穷小量在极限过程中是等价的,否则会导致错误;在定积分换元时,必须同时改变积分限,否则计算结果会出错,考生还应注重计算能力的培养,提高解题的准确性和速度,避免因计算错误而失分。
通过对2025年考研数学二答案的深入分析,可以发现考研数学的命题始终坚持“注重基础、突出能力、强调应用”的原则,试题既覆盖了考试大纲要求的主要知识点,又注重对考生数学思维和综合运用能力的考查,考生在备考过程中应制定合理的复习计划,循序渐进,夯实基础,提升能力,同时注重历年真题的研究,通过真题的练习和分析,把握命题规律,总结解题方法,提高应试水平。
相关问答FAQs:
-
问:2025年考研数学二的高等数学部分占比多少?重点考查哪些内容? 答:2025年考研数学二的高等数学部分占比约80%,重点考查函数、极限、连续、一元函数微分学、一元函数积分学、多元函数微分学、常微分方程等内容,其中极限计算、导数应用、定积分计算、中值定理证明等是考查的重点,试题注重对基础知识和综合运用能力的考查。
-
问:在复习线性代数时,应重点关注哪些知识点才能应对类似2025年考研数学二的试题? 答:复习线性代数时,应重点关注行列式的计算、矩阵的运算与性质、向量的线性相关性、线性方程组的解的结构与求解、矩阵的特征值与特征向量等内容,特别是矩阵的秩、伴随矩阵的性质、线性方程组解的判定与求解等知识点,在2025年试题中多次出现,考生应熟练掌握这些知识点的基本概念和解题方法,注重知识点的综合运用,提高分析问题和解决问题的能力。
