考研国家线的公布时间一直是广大考生关注的焦点,因为它直接关系到考生能否进入复试、调剂资格等重要环节,根据近年来的规律和教育部官方安排,考研国家线通常在每年3月中旬左右公布,具体时间会因当年考试安排、阅卷进度等因素略有浮动,2025年考研国家线于3月10日公布,2025年为3月11日,2025年为3月12日,基本稳定在3月10日至15日这一区间内,考生需密切关注“中国研究生招生信息网”(简称“研招网”)及教育部官网的官方通知,以获取最准确的发布时间。

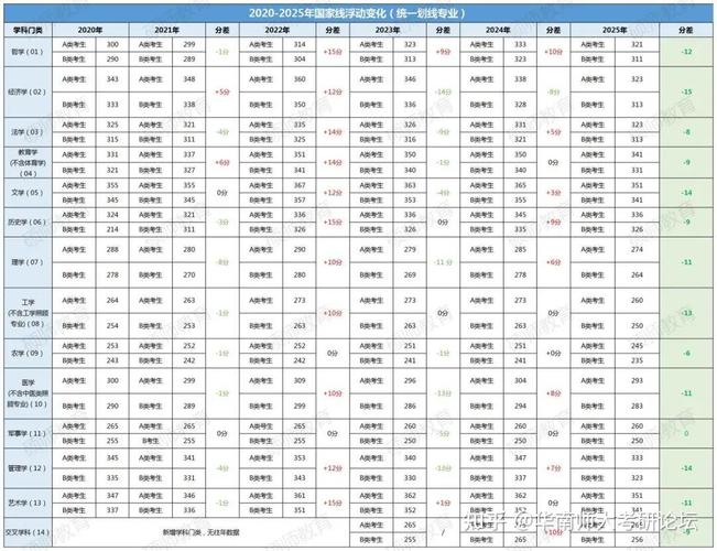
考研国家线的制定是一个综合考量的过程,主要基于三大因素:一是当年全国硕士研究生招生计划,包括报考总人数、各学科门类的招生名额分配;二是考生的整体成绩情况,含公共课(政治、外语、数学)和专业课的平均分、最高分、最低分等统计数据;三是兼顾区域发展需求,对A类、B类地区实行不同的分数线标准,其中A类地区为经济发达地区,B类地区为经济欠发达地区,分数线通常相差10分左右,国家线还分为学术学位类和专业学位类,两者在考试科目和培养目标上存在差异,分数线也会有所区别。
从近年来的趋势来看,考研报名人数持续增长,2025年达到474万人,虽较2025年增长放缓,但竞争依然激烈,国家线的划定会结合招生计划的增幅和考生成绩分布进行动态调整,若某学科门类考生整体成绩较高,且招生计划有所增加,国家线可能会相应上涨;反之,若考生整体表现不佳或招生计划缩减,分数线则可能保持稳定或下降,部分热门专业如计算机、法学、新闻传播等,由于报考人数多、高分考生集中,国家线往往处于较高水平;而哲学、历史学、农学等冷门专业,分数线则相对较低。
考生在等待国家线公布期间,应提前做好多手准备,可参考往年国家线和目标院校的复试线,结合自身估分情况,初步判断进入复试的可能性,若估分与往年国家线差距较大,可积极关注调剂信息,提前联系调剂院校;若估分较高,则应重点准备复试,包括专业课复习、英语口语及听力训练、综合面试模拟等,要留意目标院校的复试通知,部分高校可能会在国家线公布前提前组织复试,或根据实际情况划定更高的校线,考生需及时关注院校官网动态。
需要注意的是,国家线是考生进入复试的最低门槛,并不意味着达到国家线就能被录取,各招生单位会在国家线基础上,根据生源情况和专业特点,自主划定复试分数线(即校线),部分热门院校或专业的校线会远高于国家线,调剂也需要同时满足国家线、调剂院校的复试线及相关专业要求,考生在关注国家线的同时,更要重视目标院校的具体政策。

以下是近年来考研国家线公布时间的参考信息(部分学科门类):
| 年份 | 公布时间 | 学术学位类(总分) | 专业学位类(总分) |
|---|---|---|---|
| 2025 | 3月10日 | 哲学314、经济学360、法学335 | 应用心理350、审计197、工商管理167 |
| 2025 | 3月11日 | 哲学314、经济学360、法学325 | 应用心理351、审计194、工商管理170 |
| 2025 | 3月12日 | 哲学312、经济学348、法学321 | 应用心理346、审计188、工商管理162 |
| 2025 | 4月14日 | 哲学300、经济学343、法学325 | 应用心理331、审计179、工商管理165 |
(注:以上数据为部分学科门类总分线,单科线未列出,具体以教育部公布为准。)
从上表可以看出,考研国家线的公布时间相对固定,但每年会根据实际情况微调,2025年受疫情影响,国家线推迟至4月中旬公布,这是近年来的唯一例外情况,考生在备考和等待过程中,应保持关注官方信息渠道,避免因信息滞后而错失机会。
对于考生而言,国家线公布后需根据自身情况迅速做出决策:若达到一志愿院校复试线,应全力准备复试,重视专业课笔试和面试环节,部分院校还会将复试成绩计入总成绩,因此复试表现至关重要;若未达到一志愿复试线但达到国家线,需立即启动调剂流程,搜集调剂信息、联系调剂院校导师、准备调剂材料,调剂系统开放后及时填报志愿;若未达到国家线,则需考虑是否二战、就业或其他发展方向,及时调整规划。

考研国家线还分为A类考生和B类考生,A类考生报考地处一区招生单位的考生,B类考生报考地处二区招生单位的考生,一区包括北京、天津、上海、江苏、浙江、福建、山东、河南、湖北、湖南、广东等21省(市);二区包括内蒙古、广西、海南、贵州、云南、西藏、甘肃、青海、宁夏、新疆等10省(区),B类考生的分数线通常比A类低10分左右,这也是部分考生选择报考二区院校的原因之一。
考研国家线通常在每年3月中旬公布,考生需提前了解相关政策和自身定位,在国家线公布后迅速行动,无论是准备复试还是调剂,都要做到信息畅通、准备充分,要保持积极心态,即使结果未达预期,也要理性分析,及时调整未来发展方向,为接下来的规划做好准备。
相关问答FAQs
Q1:考研国家线公布后,多久开始复试?
A:考研国家线公布后,各招生单位会根据自身情况安排复试时间,通常在3月下旬至4月上旬陆续进行,具体复试时间由各高校自主决定,考生需密切关注目标院校研究生院官网或学院通知,及时查看复试方案、时间安排及要求,部分院校可能会在国家线公布后1-2周内组织复试,建议考生提前联系导师或学长学姐了解复试流程,做好充分准备。
Q2:如果分数超过国家线但未达到一志愿院校复试线,可以调剂吗?
A:可以的,只要考生分数达到国家线,且符合调入专业的报考条件(如专业代码相近、单科分数达标等),即可申请调剂,调剂系统通常在3月底至4月初开通,考生需在“全国硕士生招生调剂服务系统”中填报调剂志愿,并及时联系调剂院校确认复试资格,建议考生提前搜集调剂信息,优先选择与一志愿专业相同或相近的院校,同时注意调剂院校的复试时间和要求,避免错过机会。
