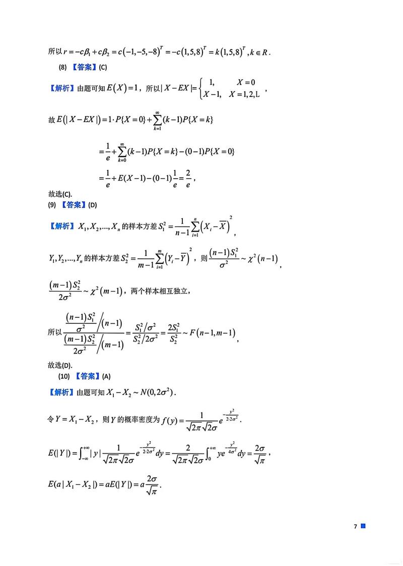
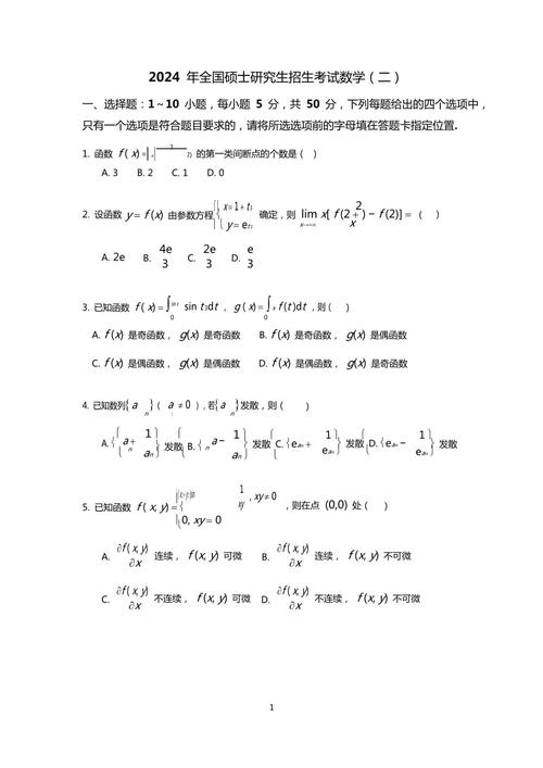
寻找考研真题是备考过程中至关重要的一环,真题不仅能帮助考生了解考试题型、分值分布和命题规律,还能通过模拟实战提升应试能力,以下是获取考研真题的多种途径及具体方法,涵盖官方渠道、网络资源、院校途径及辅助工具等,供考生参考。

官方及权威渠道
-
中国研究生招生信息网(研招网)
作为教育部指定的研究生招生信息平台,研招网(https://yz.chsi.com.cn/)会发布部分统考科目的考试大纲和样题,如政治、英语、数学等公共课,虽然真题不会直接公布,但考生可通过大纲对比历年真题,把握核心考点,部分院校会在研招网“硕士招生”栏目中公布自命题科目的考试范围或参考书目,间接辅助真题复习。 -
目标院校研究生院官网
部分高校会在研究生院官网或招生办公室页面发布历年真题,尤其是自命题科目,清华大学、北京大学等顶尖院校偶尔会开放部分年份的真题供考生参考,考生需定期关注目标院校官网的“招生信息”“下载中心”等板块,或通过“历史公告”检索关键词“真题”“样卷”等。 -
教育部考试中心
教育部考试中心(http://www.neea.edu.cn/)负责全国统考科目的命题工作,其官网会发布考试分析报告,包含对试题难度、考生整体表现的分析,结合真题可深入理解命题思路。
网络资源平台
-
考研论坛与社区
(图片来源网络,侵删)- 考研帮(https://www.kaoyan.com/):聚集大量考生分享真题回忆版,尤其是公共课和热门院校自命题科目,用户可通过“真题库”板块按年份、科目筛选。
- 王道论坛(计算机专业):针对计算机考研,提供历年真题、解析及讨论,适合目标院校为计算机强校的考生。
- 小木虫论坛(https://muchong.com/):理工科考生常用,部分板块会分享专业课真题及经验贴。
-
文库类网站
- 豆丁网、道客巴巴:用户上传的真题资源较为丰富,但需注意辨别版本准确性,优先选择带有“高清”“完整版”标签的文件,部分资源需付费或下载券。
- 百度文库:搜索“XX大学XX专业考研真题”,可筛选“最新”“完整”文档,部分免费资源可能存在缺页,建议结合其他渠道验证。
-
社交平台与自媒体
- 微信公众号:关注“考研斯基”“新东方考研”“中公考研”等公众号,定期推送公共课真题解析及部分院校自命题资源。
- B站/小红书:搜索“考研真题”,UP主或博主会分享真题解析、手写版回忆录或PDF资源,尤其适合视觉学习者。
- 微博超话:如“考研超话”“XX大学考研超话”,考生常在评论区分享真题回忆或求资源,互动性强但需筛选信息真实性。
院校及线下途径
-
目标院校图书馆或资料室
部分院校图书馆会收藏历年真题,尤其是本校自命题科目,考生可持有效证件(如学生证、身份证)借阅或复印,复旦大学图书馆设有“考研真题专架”,收录近10年各专业真题。 -
学长学姐及校内资源
(图片来源网络,侵删)- 通过QQ群、微信群联系目标院校直系学长学姐,他们通常保留有完整的真题及笔记,部分会免费分享或低价出售。
- 参加院校举办的“考研宣讲会”或“开放日”,现场可能获取真题样册或备考资料。
-
考研辅导机构
新东方、文都、启航等机构会整理公共课及部分热门专业课真题,并提供详细解析,其官网、APP或线下门店可购买纸质版或电子版资料,文都教育的《考研历年真题详解》系列按科目分类,附带考点归纳。
真题资源整理与使用建议
-
资源筛选与验证
公共课真题可通过研招网大纲或权威辅导书(如肖秀荣《1000题》、张剑黄皮书)核对;自命题真题需对比院校参考书目,避免回忆版误差,优先选择来源明确、多人验证的资源。 -
真题使用方法
- 分阶段使用:基础阶段(3-6月)按章节刷真题,熟悉考点;强化阶段(7-10月)整套模拟,掐时训练;冲刺阶段(11-12月)分析错题,总结命题规律。
- 标注重点:在真题上标注高频考点、易错点,形成“真题错题本”,结合教材巩固薄弱环节。
-
电子版与纸质版结合
电子版便于搜索和整理,纸质版更适合模拟考试,建议公共课用纸质版刷题,专业课电子版+纸质版对照使用。
相关问答FAQs
Q1:真题回忆版和官方真题有什么区别?哪个更推荐使用?
A:真题回忆版由考生考后凭记忆整理,可能存在遗漏或误差,尤其主观题部分;官方真题为原版试卷,准确性更高,推荐优先使用官方或院校公布的真题,若无可选择多人核对的回忆版,并参考权威解析补充内容,公共课尽量用官方真题,自命题科目可结合回忆版辅助复习。
Q2:如何判断网络真题资源的真伪?
A:可通过以下方式辨别:①查看资源发布者是否为认证机构或可信用户(如考研博主、院校官方账号);②对比资源页码、格式是否完整,公共课真题通常包含答案和解析;③参考其他渠道(如论坛、学长)的评价,避免下载明显缺页、模糊的文件,若资源需付费,选择知名平台交易,谨防诈骗。
